概述
稳压二极管,英文名称Zener diode,又叫齐纳二极管 。稳压二极管可以串联起来以便在较高的电压上使用,通过串联就可获得更多的稳定电压。
稳压二极管起电压调节作用,当负载电流减少时,限流电阻两端电压降便下降,输出电压上升,即相对地加大稳压二极管的反向电压,稳压电流IZ上升,使IRS亦上升,限流电阻RS的管压降便上升,输出电压下降,结果输出电压保持不变。缺点是不能获得较大输出电流。


电压调节百份比:
电压的稳定程度,比数愈低愈好,当直流电压输入VS或负载电流IL变动,其输出Vo可以保持在一定范围内不变。


VNL:无负载时的电压输出VFL:满载时的电压输出
例:如上图的稳压器,在没有负载时其输出电压为7.5V,而在额定电流
输出时,其输出电压为7.4V,求此稳压器的电压稳定度。


限流电阻的计算:
限流电阻(RS) :
(1)提供VZ之工作电流。
(2)保护VZ不受过流损坏。
两个极端情况: a
(输入电压VS)VS = VS(Min),IL = IL(Max)(IL为负载的工作电流)
当VS = VS(Max),IL = IL(Min) 时,


RS = RS(最小值), IZ(Max) = 最大工作电流;


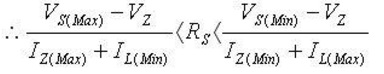
稳压二极管工作时需要保持一个最小稳定电流Izmin,当低于这个最小稳定电流时稳压二极管是不会工作的见附图,为了保证这个基本电流,限流电阻应按照附图下方的公式来设计。


例1:如输入电压的变化为15V ~ 18V,负载电流变化为5mA ~ 15mA,而稳压二极管的稳压值VZ = 12V,稳压电流IZ(Min)= 0.25mA,IZ(Max) = 50mA,求限流电阻RS的数值。
解: VS(Max) = 18V,VS(Min) = 15V,IZ(Min) = 0.25mA,IZ (Max) = 50mA


RS = 100Ω或200Ω
2. VS = VS(Max),IL = I L(Min) VRS = VS - VZ IS = IL + IZ


当VS = VS(Min),IL = IL(Max)时,


RS = RS(最大值), IZ(Min) = 最低工作电流
例二:
已知稳压二极管输入电压U1=12V,稳压二极管稳定电压Uz=6V,最小稳定电流Izmin=2mA,负载电流IL=10mA,试计算限流电阻R。
解:R=(12V-6V)/(2mA+10mA)=6V/12mA=500欧,实际取R=470欧即可。
烜芯微专业制造二极管,三极管,MOS管,桥堆20年,工厂直销省20%,1500家电路电器生产企业选用,专业的工程师帮您稳定好每一批产品,如果您有遇到什么需要帮助解决的,可以点击右边的工程师,或者点击销售经理给您精准的报价以及产品介绍
烜芯微专业制造二极管,三极管,MOS管,桥堆20年,工厂直销省20%,1500家电路电器生产企业选用,专业的工程师帮您稳定好每一批产品,如果您有遇到什么需要帮助解决的,可以点击右边的工程师,或者点击销售经理给您精准的报价以及产品介绍

